1.5m MIRROR REFLECTIVITY

Created: 07/21/03 by EF
Updated: 06/07/18 by EF

June 2015-2018 COMPARISON (Minolta)

SPECULAR & SCATTERED average of 2 measurements of M1. Mirror gets monthly CO2 treatments, no washing.
Blue: 2018, green, red: 2015.

June 2014 MEASUREMENTS (Minolta)

SPECULAR & SCATTERED average of 3 measurements of M1, with corrections from Ricardo Ortiz. Mirror gets monthly CO2 treatments, no washing.

September 2013 MEASUREMENTS (Minolta)

SPECULAR & SCATTERED measurements of M1. Black, red, green are 3 different spots on M1. We were unable to re-aluminize M1 in 2013. Compare with Aug 11. We lose about 2% specular reflectivity, and see significantly increased scattering.

August 2011 MEASUREMENTS (Minolta)

SPECULAR & SCATTERED measurements of M1. Green is for a reference slide and black, red, blue are 3 different spots on M1 shortly after re-aluminization.

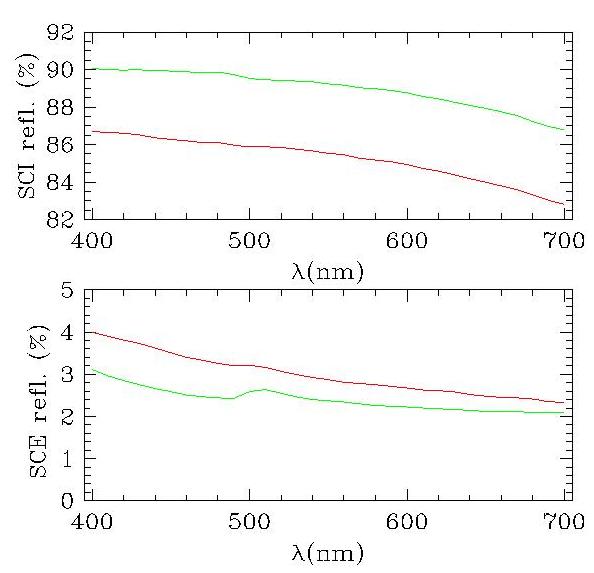
April 2011 MEASUREMENTS (Minolta)

SPECULAR & SCATTERED measurements of M1. Black, red, green are 3 different spots on M1. Higher specular (SCI) reflectivity goes with smaller scattering (SCE), as expected.

October 2010 MEASUREMENTS (NEW Minolta)

SPECULAR & SCATTERED measurements of M1, washed by GE during August 2010 shutdown. Used the new Minolta reflectometer, which explains the dispersion of the measurements.

August 2009 MEASUREMENTS (Minolta)

SPECULAR & SCATTERED red trace M1, green trace witness slide. M1 aluminized August 2009.

SPECULAR & SCATTERED M2 red dirty, green clean. M2 not aluminized because it would not fit with M1 in the Sunnyside chamber, requiring a separate shot that would be excessively expensive.

September 2008 MEASUREMENTS (Minolta)

SPECULAR (top) & SCATTERED (bot) red trace M1, green trace witness slide, black MMT std. Very little SCI change since January 2008. PB and EF washed M1 during the August 2008 shutdown, which explains the slightly smaller SCE values.

January 2008 MEASUREMENTS (Minolta)

SPECULAR & SCATTERED red trace M1, green trace witness slide. M1 aluminized August 2007.

August 2005 MEASUREMENTS (Minolta) POST-ALUMINIZATION

SPECULAR: 3 witness slides (confirmed to be nearly identical to mirror)

SCATTERED: 3 witness slides, much lower than pre-alum values

August 2005 MEASUREMENTS (Minolta) PRE-ALUMINIZATION

SPECULAR: N (cleaned), SE and S, all 10cm inboard

SCATTERED: N (cleaned), SE and S, all 10cm inboard

July 2003 MEASUREMENTS (Minolta)

SPECULAR: 2 outer edge, 1 near hole

SCATTERED: 1 outer edge, 1 near hole

Note: MMT Std is the comparison aluminized slide for the Minolta CM2002.

  • 2001 MEASUREMENTS (Minolta)

  • 1995-1996 MEASUREMENTS

    Note: All measurements were taken on the primary mirror.