Created: 07/01/03 by EF
Updated: 09/20/17 by EF

September 2017 MEASUREMENTS (NEW Minolta)

SPECULAR & SCATTERED 3 spots on M1 (color) and one on M2 (black). Scattered measurement for M2 is suspiciously low, added 0.32 to fit within plot window.

June 2014 MEASUREMENTS (NEW Minolta)

SPECULAR & SCATTERED average of 3 measurements of M1, with corrections from Ricardo Ortiz. Mirror gets monthly CO2 treatments, no washing.

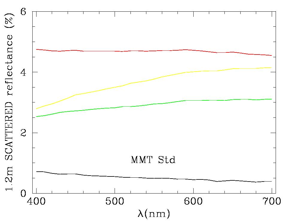
September 2013 MEASUREMENTS (NEW Minolta)

SPECULAR & SCATTERED measurements of M1. Red, green are 2 different spots on the NEW M1. Compare with Apr 11.

April 2011 MEASUREMENTS (NEW Minolta)

SPECULAR & SCATTERED measurements of M1. Black, red, green are 3 different spots on M1. Higher specular (SCI) reflectivity goes with smaller scattering (SCE), as expected. Note the extreme degradation of both types of measurement.

October 2010 MEASUREMENTS (NEW Minolta)


Measurements with new Minolta reflectometer. Very high scattering, as expected, as well as poor reflectivity overall, and more so in the worst areas.

August 2008 MEASUREMENTS (Minolta)


Witness slide. Top: specular, bot: scattered.

August 2006 MEASUREMENTS (Minolta)


Witness slide. Top: specular, bot: scattered.

July 2003 MEASUREMENTS (Minolta)

SPECULAR: 3 outer edge, 1 near hole (something off?).

SCATTERED: 1 outer edge, 2 near hole (1 on clear smudge with largest scattering)

Note: MMT Std is the comparison aluminized slide for the Minolta CM2002.

  • 2001 REFLECTIVITY

  • 1995 REFLECTIVITY

    Note: All measurements were taken on the primary mirror, except where the witness slide is indicated.