July 2003, EEF

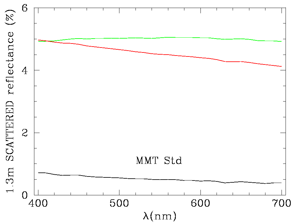
July 2003 REFLECTIVITY

SPECULAR: 2 outer edge, 1 near hole

SCATTERED: 1 outer edge, 1 near hole

Note: MMT Std is the comparison aluminized slide for the Minolta CM2002.

Note: All measurements were taken on the primary mirror.